khmer to english M060 - អនុគមន៍ងាយៗ (២) - snake racks242424

Thứ Ba, 17 tháng 12, 2019

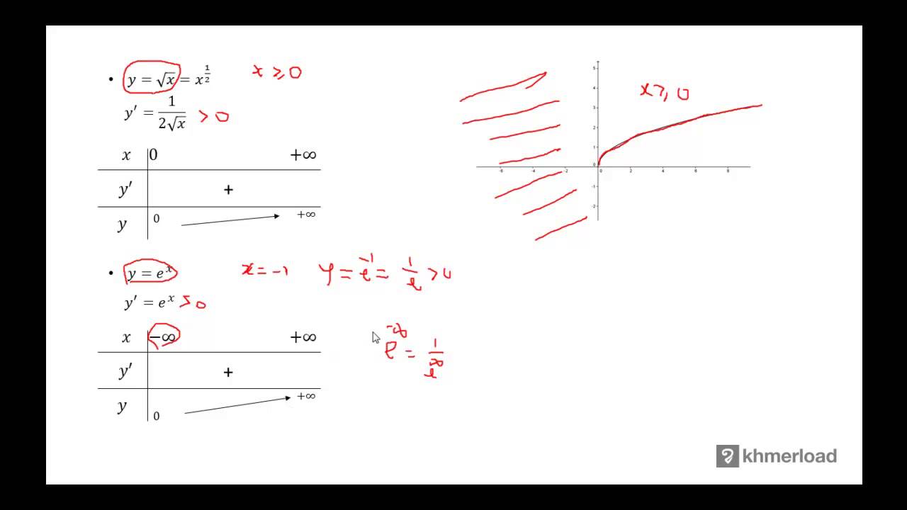
khmer to english M060 - អនុគមន៍ងាយៗ (២)

khmer to english M060 - អនុគមន៍ងាយៗ (២)

1 Likes1 Dislikes
479 views views3.04K followers
Education Upload TimePublished on 13 Nov 2013

Related keywords

camboya mapa,khmerload today,khmer rouge history,cambodia kim wilde,khmer script,khmer instrument,khmer new year,cambodia angkor air,khmerload news today,cambodian food,khmerload math,http://khmerload.com.kh,khmerload lottery biz,cambodia visa colombia,khmer culture,cambodia map,cambodia visa colombianos,khmerload movie,khmerload,khmerload bts,cambodia angkor wat,khmerload logo,khmerload video news,khmer rouge,cambodia airways,khmer sculpture,camboya donde queda,khmerload quotes,cambodia vs pakistan,khmerload study,khmer empire,cambodia tourism,cambodia gano excel,khmerload sport,khmerload facebook,cambodia visa,khmerload music,camboya bandera,cambodia o camboya,khmer alphabet,cambodian genocide,khmerload novel,khmerload cambodia,khmer nation,khmer republic,khmer language,khmer rouge meaning,khmerload video,camboya moneda,khmer meaning,khmer pronunciation,cambodia cities,khmer art,khmer architecture,khmer people,khmerload app,cambodia capital,khmerload news facebook,khmerload dara,

Không có nhận xét nào:

Đăng nhận xét